MNOŽINA SNOVI


Molska masa

Molska masa je masa enega mola snovi. Številčno je enaka relativni atomski masi oz. relativni molekulski masi, a ima enoto g/mol.


Izrečun množine snovi

Množina snovi je ena od sedmih osnovnih veličin

Osnovna enota za množino snovi je mol. En mol vsebuje prib. 6,02*10^23 delcev (Avogadrova konstanta).

Množino snovi izračunamo z enačbo:


enačba za množino snovi

Množina atomov, množina molekul

Kadarkoli imamo podano eno snov, iščemo pa drugo snov, naredimo:



razmerje množin

Prostornina plina

Pline opišemo z veličinami množina, prostornina, tlak in temperatura. Pri tem uporabimo ti. splošno plinsko enačbo (velja za idealne pline).


plinska enačba

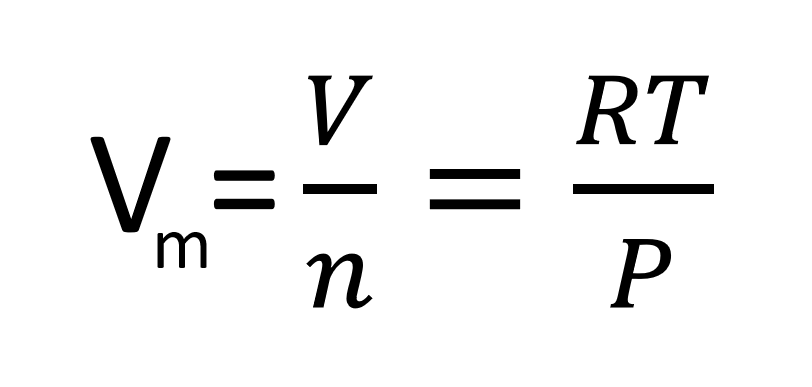
Molska prostornina

Molska prostornina je prostornina 1 mol snovi. Izračunamo jo z enačbo:


enačba za molsko prostornino

Enačba kemijske reakcije

Kemijsko reakcijo predtavimo z enačbo. V enačbi kemijske reakcije so na levi strani reaktanti, na desni pa produkti, vmes pa je puščica, ki predstavlja smer kemijske reakcije.

Enačba kemijske reakcije mora biti vedno urejena. Uredimo jo tako, da pred formule snovi pišemo najmanjše možne cele stehiometrične koeficiente. Številke 1 praviloma ne pišemo.

Včasih ob snoveh v enačbi kemijske reakcije pišemo tudi agregatna stanja snovi (g - plin, l - tekočina, s - trdno, aq - vodna raztopina). Agregatna stanja pišemo z navadno pisavo, desno od formule snovi.

Razlikujemo med kemijsko reakcijo in fizikalno spremembo. Pri kemijski reakciji nastane povsem nova/drugačna snov, pri fizikalni spremembi pa snov spremeni le svojo obliko.


Množinska razmerja

Količino snovi (reaktantov in produktov), ki sodeluje v kemijski reakciji lahko izračunamo z upoštevanjem množinskih razmerij. Postopek reševanja je enak kakor pri poglavju Množina atomov, množina molekul.


Presežek (prebitek) reaktantov

V primerih, ko sta podani količini dveh reaktantov je verjetno eden od njih v presežku (nezreagiran). Presežno količino reaktanta najlažje izračunamo preko množin.